小编这几天在百度贴吧、百度知道里面看到有好多小伙伴想了解线切割脉宽和脉间的含义,虽然说线切割加工时主要的参数是这两项,但是要较好的了解线切割脉冲的含义才能更好的加工出较好的模具或者产品。
今天小编找了半天的广东大铁书库,终于不负所望找到了电火花加工工艺文献,下面就由小编系统的给大家讲解下
线切割脉冲参数指脉冲电源输出的电规准和放电间隙的放电过程电流、电压、功率及能量等对时间的函数。
1、脉冲宽度ti(μs)
驾到见习两端的电压脉冲的持续时间叫做脉冲宽度(如图1-5)。
2、脉冲间隔to(μs)
相邻两个电压脉冲的持续时间叫做脉冲宽度(如图1-5)
3、脉冲周期tp(μs)
从一个脉冲电压开始到相邻的下一个脉冲电压的开始之间 的时间叫作脉冲周期。它等于脉冲宽度和脉冲间隔制和(如图1-5)。
4、放电时间te(μs)
从介质击穿间隙通过电流到脉冲结束时的电流持续时间叫作放电时间,有时亦称为电流脉宽(如图1-5)。
5、击穿延时td(μs)
从间隙两端施加电压到介质被击穿之间的时间叫作击穿延时(如图1-5)。
6、停歇时间tc(μs)
相邻两次放电之间的时间间隔叫作停歇时间(有时亦称为电流降额)。它等于脉冲间隔与击穿延时之和(如图1-5)。
7、 脉冲频率fp (Hz)
单位时间内电源发出的电压脉冲的各大呼叫做脉冲频率。
fp=10B/tp (tp的单位是μs)
8、有效脉冲频率fe (Hz)
单位时间内在放电间隙中发生的有效放电次数佳作有效脉冲频率(又被称作脉冲频率)。
9、脉冲利用率 λ(%)
有效脉冲频率fa与脉冲频率fp之比的百分数叫做脉冲利用率。
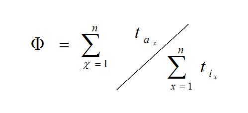
10、相对放电时间Φ
放电时间与脉冲宽度之比较作相对放电时间(又称放电比)。
11、放电效率φ
某一段时间内,放电时间总和与该段时间内脉冲宽度总和之比叫作放电效率。
12、开路电压V(V)
间隙开路(或间隙被击穿前的脉冲延时时间)的极间峰值电压叫作开路电压(一颗成空在电压,见图1-5)。
13、放电电压VO(V)
间隙击穿后通过放电电流时,间隙两端的瞬时电压叫作放电电压(亦称通道维持电压见图1-5)在电火花加工中,放电电压一般只在25~30V很小范围内变化。
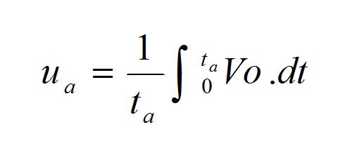
14、平均放电电压ua (V)
放电时间内放电电压的算术平均值叫作平均放电电压。
15、加工电压U(V)
正常加工时,间隙两端电压的算术平均值叫作加工电压。
16、放电电流ie(A)
放电时流过间隙的瞬时电流叫作放电电流(见图1-5)。
17、平均放电电流(A)
平均放电内,放点点电流的算术平均值叫做平均放电电流。
18、放电峰值电流(A)
放电电流的最大值叫作放电峰值电流。
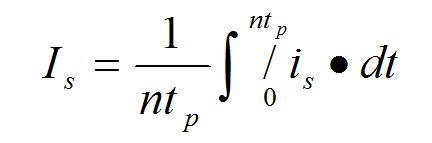
19、短路电流is(A)
间隙短路时,瞬时电流的最大值叫做短路峰值电流
20、短路电流Is(A)
放电间隙连续发生短路时,电流的算术平均值叫作短路电流.
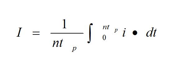
21、加工电流I(A)
通过加工间隙的电流的算术平均值叫作加工电流
22、脉冲前沿tp
从脉冲峰值的10%上升到峰值的90%所需要的时间叫做脉冲前沿(亦称脉冲上升时间,见图1-6)
图1-6 脉冲的前沿和后沿
23、脉冲后沿tp
从脉冲峰值的90%下降到峰值10%所需要的时间叫作脉冲后沿(亦称脉冲下降时间,见图1-6)
24、加工电流密度J(A/mm2)
单位有效放电面积上的加工电流叫做加工电流密度。
J=I/S(S的单位:mm2)
25、空载脉冲
在电压脉冲期间,间隙介质未被击穿,未形成火花通道的脉冲焦作空载脉冲。空载脉冲电压为开路电压,没有脉冲电流(如图1-7(a))
26、工作脉冲
又称有效放电 脉冲或正常放电脉冲。这种脉冲式介质正常击穿并产生正常的火花通道的脉冲。工作脉冲的电压大多有击穿时,击穿介质后电压下降的速度相对缓慢。放电电压有不规则的高频振荡,放电电流也有不规则的高频振荡(见图1-7(b))
27、拉弧脉冲
又称异常放电脉冲。这种脉冲是在加工间隙严重积碳或形成弧光放电时产生的。拉弧脉冲大多无击穿延时,或虽有击穿延时但电压下降较迅速。拉弧电压比放电电压稳定,不规则振荡的幅度和频率都比放电电压略低于放电电压,拉弧电流则略高于放电电流(见图1-7(c))
28、短路脉冲
间隙短路时,两极间无电压,此时电流脉冲的幅值最高(见图1-6(d))


